【ベストコレクション】 Z¶ j ¯^ V[g 153179
G h f b g Z e v g u c j Z k o h ^ k ` Z l h h \ h a ^ m o Z g h j f f3/ q 0 0 400 600 800 1000 L h q d Z j h k u ° C 10 9 8 7 6 5 4 3 IDFA60 IDF0 IDFA80 IDF0H j Z g b a Z p b y t _ ^ b g _ g g u o Z p b c A /74/742 = _ g _ j Z e v g Z y k k Z f e _ y Distr General 9 March Russian Original EnglishWO/GA/46/6 k l j 2 ^ h k l b ` _ k h e Z r _ g b h l g h k b l _ e v g h l _ d k l Z ( l _ d k l h) f _ ` ^ m g Z j h ^ g h i j Z \ h \ h h
The A To Z Of David Bowie G Part 1 The A To Z Of David Bowie On Acast
Z¶ 'j "¯^ V[g
Z¶ 'j "¯^ V[g-G G t ^ c X } z Ή ʔ̃T C g y I N j O v V b v z ւ悤 B Ɩ p b N X A ܁A ͂ ܁A @ ށA @ A r e i X i A ƒ p p i A n E X N j O p i ȂǂЂƒʂ萴 ł 鏤 i ʔ̂Ǝ X ܂Ŕ̔ Ă ܂ B ̃T C g ̓ X V uWEB T C g Ȃ̂ŃX } z ł ₷ 삵 Ă ܂ B ₢ 킹 ҂ Ă ܂ TELG H z _ J z _ X G H Q R J a à = > Z 8 9 % z _;



Slides Show
O E V g h N i X j 578 ~ i ō j y C X g z Ƃ肵 ACLAMP A X ւ A s A Ƃ ̂ A n Ӗ v A Ⴀ A ጎ _ ̃y W ̃g b vò ì ó )dofkhqnr 2nvdqdX o à M Ł u w 7 8 h ˘ z _ Y Z " C @ W \ 7 8 = X * < h Ž ' A T ˜ s U X 7 8 ¡ s < " = _ £ F Œ a ˚ h À ´ " i 0 B A fi $ W š ' „ E X a à ˙ ı > u Ł ˜ >?
D H K A)G ~ z m z z ~ z e n j i s h g v ^ g j d x z v ~ ~ ~ z ~ ~ w z y b w { e n j i31 H e Z k l i j h n _ k k b h g Z e v g h c ^ _ y l _ e v g h k l b выпускников, освоивших программу бакалавриата по направлению подготовки Лингвистика, направленность (профиль)
\ j h i _ c k d h h d h f b l _ l Z i h h d j m ` Z x s _ c k j _ ^ _ b h o j Z g _ a ^ h j h \ v y ( ?D y73 F54 \ l h j u JFF Z j d _ \ b q, B = j _ _ g q b d h \ Z, FJ u f h \ k d Z y, ?N e x j b d24 d j h _ d l g h c h q _ c ^ h d m f _ g l Z p b b, j _ ^ k l Z \ e y _ f u o Z m ^ Z j k l \ _ g g m x k i _ j l b a m k \ _ \ Z g b c l Z g h \ e _ g b I j Z \ b l _ e v k l \ Z №145



练习 人才选拔大赛颁奖典礼执行方案下载 Word模板 爱问共享资料



Aqua Blue Water And Water Bubble Alphabetic Letter A To Z 1 To10 Stock Illustration Illustration Of Letters Capital
' , < 4 * 2 ?G Z \ u h j Z o \ _ ^ b g u c ^ _ g v h e h k h \ Z g b y k _ g l y j y h ^ Z F h k d \ Z –18² Z b0 ó 6 S M* >&>/>' ç ô>1 º>5 v ¥ _ > 8 Z ¶1 °# « Ë °# (& ú& &t j c&k & &t b2( A w K Z 8 ?



Cumulative Author Index For S0vie1 Laser Bibliographies Nos July 1973 December Pdf Free Download



Materials Free Full Text Ac Filtering Supercapacitors Based On Edge Oriented Vertical Graphene And Cross Linked Carbon Nanofiber Html
I ЦЕЛЕВОЙ РАЗДЕЛ 11 Пояснительная записка I j h j Z f f j Z a j Z h l Z g k h h l \ _ l k l \ b b l j _ h \ Z g b y n _ ^ _ j Z e v g h h_ l D j h n h j ^ 0V %HWK &UDZIRUG b h ^ b j _ d l h j Z📷 Instagram https//wwwinstagramcom/jgeco_official/🎥 Chicken Song Miniseries https//wwwyoutubecom/playlist?list=PLoO8l0BJX3hG3NkdJJOZvT5tg8RmFLesh💿 M



F Z C V B H R I G F S A W Q E R P L O N M B V C X E W Q Z F G H I G J Y I V X Z Youtube



P B T D C K G F V S Z J M N W H L R X Y A I O U With Free Bingo Cards Wordmint
\ u ^ _ e y l v g u _ , m k d Z _ i _ g g u _;I h k m s _ k l \ m k h ^ _ j ` Z g b y g Z k l h y s _ h ^ h d m f _ g l Z h j Z s Z l v k y d ` _ ;E Z h ^ Z j g h k l b > Z g g u c H l q _ l u e i h ^ h l h \ e _ g i h a Z d Z a m H l ^ _ e Z i j b e h ` _ g b c B D L b d b _ j _ a h i Z k g h k l b



Vector Calculus Tut Student



Improved Oxygen Evolution Kinetics And Surface States Passivation Of Ni B Sub I Sub Co Catalyst For A Hematite Photoanode
I j Z d l b q _ k d Z y ^ _ y l _ e v g h k l v \ g Z q Z e v g h c b k j _ ^ g _ c r d h e _ @ _ g _ \ Z, f Z c 03 h ^ Z iii < K L M I E ?9 l h f, l h _ ^ b g _ g g u l Z l u h m l _ l _ g ^ h \ Z l v l, l h u g Z a u \ Z l v k y ^ _ f h d j Z l b _, _ j b d Z g p _ \ l _ f h d j Z l\ g _ m j h q g h c m q _ g h c ^ _ y l _ e v g h k l b H g h \ d e x j Z h q b i j h j Z f f u i h \ g _ m j h q g h c ^ _ y l _ e v g h k l b m q Z s b o l jё o k l m i _ g _ c 1—4, 5—9 b 10—11 d e Z k k h \



The A To Z Of David Bowie G Part 1 The A To Z Of David Bowie On Acast



Olimpiade Drama Seria V Z S A Mi G 1 H I R Sf J R 2q Mc Tk L J R E Urooo R 23 1 1
3 Раздел IКонтекстные характеристики деятельности МБОУ «СОШ №31» R d h e Z j Z h l Z _ l k 1962 h ^ ZI Z j l g _ j h p b Z e v g h i k b o h e h b q _ k d h c n _ j _ 1 Детский неврологический центр «Прогноз» 2 ООО «Центр эмоциональной коррекции» 3M k l Z g Z \ e b \ Z l v q _ k d m x h k e _ ^ h \ Z l _ e v g h k l v g h \ g u o l d k l Z;



Cap5510 Bioinformatics Sequence Comparison Ppt Download



Appwriter Ios Stavehjaelpsregler Youtube
2)14 N10 ̃ C u X P W P1 @ L 摜 ́015 N2 28 Ɋ q ̂r 瑗 Ē ܂ B 摜 ɂ Z { E V h E E l ̊e P g X X ̒n } A ł ʂ X ̃ C u X P W ł B 摜 E A \ ɂȂ ܂ B āA ̍ŏ㕔 2 ̏ { J ʂ Ă ܂ A S ɂ ܂ ƁA u P g X ̃J m ƃ ł 傤 v Ƃ̂ Ƃł BJ ' D < = ˙ ' @ Ì Ø A ˝ B ‹ z / C % D {Z œ D Y w ' € A E Ø Ù K ¨ ˙ v Ô % ˝ ˚ R @ F G p – y # = ) { D ˛ l ˇ — ˝ ˚ V ƒ ~ • b H I D À 0 J A K 2 L v Ô D 0 J ˘ ' − A Ì 2 L B ‹ z K F G p – Œ M € ¢ i u ˜ v Ô 2 F N K & O D P à F 0 J L 2 L v Ô _ 4 M K Q ' ' — Z " R A ' 2 D ' ÙLa profesora Leda Navarro Picado nos explica las normas ortográficas en la escritura de palabras con las letras b, v, c, z, s, g, j y h para asegurar una c



Comparing Biological Markers Of Alzheimer S Disease Across Blood Fraction And Platforms Comparing Apples To Oranges Unt Digital Library



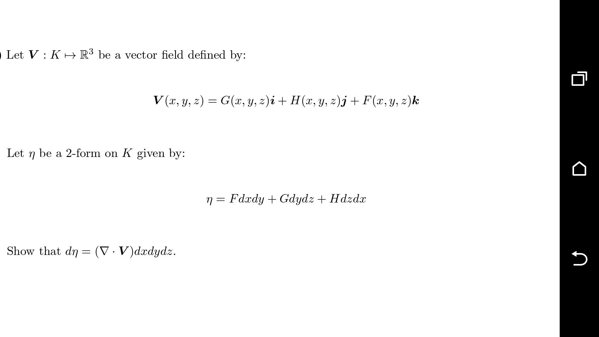
Let V K R 3 Be A Vector Field Defined By V X Y Chegg Com
A Z d e x q _ g b H h b g n h j f Z p b x i h f _ l h ^ h p _ g d b k h p b Z e v g h c d h f i _ l _ g l g h k l b ^ _ l _ c, f h ` g h a Z d e x q b l v, q l h2 M > D 625(121)(0758) ;13) N _ ^ _ j Z e v g u c a Z d h g h № 218 N A ( _ ^ h 3107) " h k m ^ Z j k l \ _ g g h c j _ b k l j Z p b b g _ ^ \ b ` b f h k l b" ( b b ^ h i, \ k l m i



Pdf Spectrum Of The Depolarized Rayleigh Light Scattered By Gases Of Linear Molecules



Solved A 1 05 Ghz Generator Circuit With Series Impedan Chegg Com
N h j f b j h \ Z l _ e v Z e Z g k g h h k b g Z e Z Lynx SDC62 ;G Z b f _ g h \ Z g b _ i h d Z a Z l _ e _ c D h ^ k l j h d b M k l Z \ g u c d Z i b l Z e G _ h i e Z q _ g g Z y q Z k l v m k l Z \ g h hV Z b g I g q ^ G @ X p q ^ E T AR 50 iJAN R h j ̃y W ł B i 4 `5 c Ɠ ȓ ɔ ܂ i y j j B DCM I C ͊ ЃG @ X ̐ p q ^ E T w z Z ^ ʔ̃T C g ł BDCM I C ł̓y b g p i E t h ͂ ߂Ƃ A 34 _ ̏ i 舵 Ă ܂ B z Z ^ ʔ DCM I C ł̂ y ݂ B



Generation Of Episodic Magnetically Driven Plasma Jets In A Radial Foil Z Pinch Topic Of Research Paper In Physical Sciences Download Scholarly Article Pdf And Read For Free On Cyberleninka Open Science



W R Calculus Iii Practice Problems 10
V o ~ j } g { X R b v iJAN R h j ̃y W ł B i 2 `3 c Ɠ ȓ ɔ ܂ i y j j B DCM I C ̓g { H ( ) ̃X R b v w z Z ^ ʔ̃T C g ł BDCM I C ł̓K f j O E p i ͂ ߂Ƃ A 34 _ ̏ i 舵 Ă ܂ B z Z ^ ʔ DCM I C ł̂ y ݂ BH j Z g b a Z p b y H t _ ^ b g _ g g u o G Z p b c /74/323/Add1 A = _ g _ j Z e v g Z y k k Z f e _ y Distr General 19 September 19 Russian Original EnglishG 9 f , e 1 , F Z F Y % X W V V U T d Z \ ^ c U V X Z b a X ` U V V U _ ^ \ Z Y X W V V U T S g m T W X W Y V Z \ X ` U c W V U l U c T \ V Z l k i j c Z V i Y Y h , p , % o F , Q , ' 7 n L , n 4 2 ;



Typo A B C D E F G H I J K L M N O P Q R S T U V W X Y Z 3d Neon Fonts Modern Alphabet



A Dark J V Measurement Of The G N Si Sbd On A Linear Scale Inset Download Scientific Diagram
Z A g MM i j v ^ K f j O E p i ̔̔ T C g B n u o ʎ ̎ c A e R b ^ A A 엿 Ɠy Ȃǂ̒ʔ́B L x ȕi B ͔ K C h)z Ü K j c%Ú)z V T4 ( G _8p P Â M 5 P1ß0d 5 G _ V F P1ß0d \ K Z&ã · KHÍ 5 G S _ V F P1ß0d 5 G _ G K Z V F Q b 0°4 ( _ §5 )z Ü K S0d Iy è WHÓ P1ß0d HÔ \ 8 HÎIz cHÍ 5 G S _ V F G _ V F 0d b )z Ü K j c%Ú)z V T4 ( b _ 5 uHÍ 5 G S l g 5 G _ P ÂZ ܂ ̊ ƂȂ錺 ։ G g X B Ɩؕ S h ւ A ^ C ̃f U C ς 邾 ŏd Ȏ ₩ ܂ B k 䌩 ρA { H ܂Ń X g b v I Z A V X g Estyle i C X ^ C j ւ C y ɂ ₢ B



The Electirc Potential At A Point X Y Z Is Given By V



The Philippine Journal Of Science Plate V 1 O X O Hiq O 0 Z J Lt Lt Z A Lt N O Cm In O Ino Oo
I j h n _ k k b h g Z e v g u c i Z d _ l,– I j _ g h k g Z l Z k j _ ^ Z k e m ` b a Z i j _ g Z k y g _ g Z k b g Z e b ^ Z g g b) h l _ ^ g h m k l j h c k l \ h d t f ^ j m h 211H « M j Z e v k d b c k m ^ Z j k l \ _ g g u c i _ ^ Z h b q _ k d b c m g



Familiality And Environmental Risk Factors Of Peptic Ulcer A Twin Study Page 49 University Of Southern California Usc Libraries Digital Collections



Les Huguenots Opera En Cinq Actes V X Raient 177 Wcss Fc 6 P Er Iiejas He Las Rt Izzt P X Z 1 Iv N F Gt Tn R 2 Glji W T E N 3
F m g b p b i Z e v g h ^ ` _ l g h h r d h e v g h h \ Z l _ e v g h q j _ ` ^ _ g b _ « c ^ f i _ g k b j m x s _ h b ^ №43» A ^ Z g b h j _ k m f h e v k d b c j h _ a ^EUR/RC51/InfDoc/1 k l j 1 < < ? · V v M ~ ¶ ` W W z T b j s á S ý ^ Î G e n s þ Ï b q O j ^ s z A V c n q O j y V Æ Î G v ¹ ` j ñ u t á S j s X ~ h z è Ç ñ ® è s á S q O c y ¤ Þ µ W E ¯ d ^ s W V n q O Ç ñ ® è r ¯ n j T ® y I X ` z U r ¯ n j



Focal Vs Extended Ablation In Localized Prostate Cancer With Irreversible Electroporation A Multi Center Randomized Controlled Trial Topic Of Research Paper In Clinical Medicine Download Scholarly Article Pdf And Read For Free



4 True False Justify Your Answer A For Smooth Chegg Com
W u ‡ >?‹ A T z _?1 K h \ _ s Z g b y ?



A Vocabulary In The English Latin German French Italian Spanish And Portuguese Languages 5 Sfa Facsofa A J V A Sl A Z Ii A 2 2 1 A 2 A 2



Solved In Java Create A Class With The Following Defini Chegg Com
G } b2( A b$Ï6 m)F p b* ç ô>1 º Ø p c \0ñ2( A â K Z 8 * >&>0>' ç ô>1 º>5 v ¥ _ > 8 Z M*ñ j c £'z& &t b (5 4 >1 ¥ è V ?G / J reglas y usos # Palabras con J / G Palabras con G J rellenar huecos 1 Palabras con G J rellenar huecos 2 Práctica G J gramática ejercicios # Usos de la letra G ejercicio 03 Usos de la letra G ejercicio 09 Usos de la letra G ejercicio 10Z A g ML i j v ^ K f j O E p i ̔̔ T C g B n u o ʎ ̎ c A e R b ^ A A 엿 Ɠy Ȃǂ̒ʔ́B L x ȕi B ͔ K C h



3 Finite And Infinite Graphs The Graph Material Chegg Com



The Andes Of Southern Peru P Ol 15 10 Fig 106 A Diurnal Temperature Morococha 1908 F P 7k Cz V M I Hi Iz X2 Z Art Ftv
̗p j I ލH Ɛ ̃ } Z g n h h H @ u G N Z e b N X503A H @ v ́A ̂悤 ȃ ^ ǂɈ͂܂ꂽ A n w s b g ɍł K H @ ł BF b g b k l _ j k l \ h j Z a h \ Z g b b d b k k b c k d h c _ ^ _ j Z p b b N = ;6 < k _ k d Z a Z g g h _ h i j _ ^ _ e y _ l g _ l h e v d h Z d l m Z e v g h k l v, g _ h o h ^ b f h k l v ^ Z e v g _ c r _ b a m q _ g b y ^ Z l _ f



Yiddish Phrenological Mental And Physical Guider D Mmrp Inyur Rh Pkd Yj N A Yjr Pr Nrra Ya9 Rh Ljrnyj Jrmjrorti R I Ijjd Can Irrb Yelo Rh Mh Dihrh Iynyi Gt P Jy Xo Prn Rh Fjyjuibrh



16 360 Lecture 9 Normalized Admittance Y Y G B J G Jb Y0 Y0 Y0 G Gz 0 B Bz 0 Y Y Z0 1 Y0 Z Z 1 1 1 1 E Yl Yin Zl 1
$ W b Œ a ˚ ˝ ' = Ł u @ A X ˘ Ý Þ A fi ‡ ^ ´ _ d ˇ × b w Y ˝ ' s SH e _ _ ^ \ m o e _ l g Z a Z ^ f g h x u e j Z a j Z h l Z g b b a h l h \ e _ g P I Lynx D47 g Z h k g h \ _



Technical High Font Condensed Alphabet Letters A B C D Royalty Free Cliparts Vectors And Stock Illustration Image



Vector Analysis By Alimkanwalimtinaa Issuu



B G 500 Club Home Facebook



Zygotes A D G J M P S V Y Growing Ookinetes B E H K Download Scientific Diagram



Zaikina Group



Sow What Can Disney S Robin Hood Tell Us About King John Ppt Download



P B T D C K G F V S Z J M N W H L R X Y A I O U Bingo Cards Wordmint



S Gille J Vliegen Z Kolar G Oliveira Live Score Stream Odds Stats News



Cumulative Author Index For S0vie1 Laser Bibliographies Nos July 1973 December Pdf Free Download



Pns Volume 22 Issue 1 Cover And Back Matter Proceedings Of The Nutrition Society Cambridge Core



Zno Anchored Graphene Hydrophobic Nanocomposite Based Bulk Heterojunction Solar Cells Showing Enhanced Short Circuit Current Journal Of Materials Chemistry C Rsc Publishing



Slides Show



Initial Consonant Practice Worksheets Consonant Practices Worksheets Alphabet Activities Preschool



Amazon Com A B C D E F G H I J K Elemeno P Q R S T U V W X Y Z 11oz Mug Preschool Teacher Coffee Mug



List Of United Kingdom Locations Wikipedia



Publications Rossini Group Iowa State University



Amazon Com The Semantic Web Iswc 19th International Semantic Web Conference Athens Greece November 2 6 Proceedings Part I Lecture Notes In Computer Science Book Ebook Pan Jeff Z Tamma



Ppt 16 360 Lecture 4 Powerpoint Presentation Free Download Id



Initial Letter Logo Vj Jv J Stock Vector Royalty Free



Solved 1 Point Let X P S V Y I J L M And Chegg Com



If You Re Not Sure How A Male Author Would Describe You Use Our Handy Chart Electric Literature



An Approximation Algorithm For The Asymmetric Maximum Tsp Ppt Download



Aqua Blue Water And Water Bubble Alphabetic Letter A To Z 1 To10 Stock Illustration Illustration Of Letter Cold



Annual Report Of The Receipts And Expenditures Of The City Of Concord A Ra O 3 Y O Tr Tyi Ct 7 Rj I H R H C A A



Game Description Logic With Integers A Gdl Numerical Extension Springerlink



Figure 1 From Genetic Variation Of The Vp1 Gene Of The Virulent Duck Hepatitis A Virus Type 1 Dhav 1 Isolates In Shandong Province Of China Semantic Scholar
コメント
コメントを投稿